发布日期:2017-03-31
商标注册又要大降价啦!近日,财政部、国家发展委发布通知,自2017年4月1日,取消或停征41项中央设立的行政事业性收费,将商标注册收费标准降低50%。停征的41项收费中还包含计算机软件著作权登记费。也就是说,自4月1日起,注册商标从原来的600元降到了300元!

那么,你知道商标的注册有多重要吗?

作为一家企业,首先要做好自己的品牌。品牌是人们对一个企业文化价值的认知和信任。当一个品牌被市场所承认之后,这个品牌在市场就会产生其相应的市场价值。商标的注册有延伸保护,一个是在时间上的纵向保护,比如品牌坚持一个主题去宣传;另一个是同一时期品牌推广上的横向保护,为的是统一形象,协调一致。
根据《商标法》第三条规定,经商标局核准注册的商标,商标的注册人享有商标的专用权,受法律的保护。
如果没有注册商标,产品可能卖到一半就不能卖了。因为你有商标了,你才能自己说了算!
如果用公司名字注册商标可以吗?
如果公司名称具有显著性,是可以申请商标的。如果公司的名称太普遍通用,这样注册的商标是很难通过的。商标的名字虽说简繁体都可以,但是最好还是选择简体比较让人习惯。
说了这么多商标的重要性,那要怎么注册商标呢?
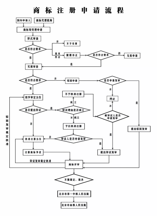
商标注册的流程是极其复杂的,从注册准备到领取商标注册证就有六个环节。其中商标注册的审查也是很严格,商标注册主管机关会对商标的注册申请是否合乎商标法的规定进行检查。资料检索,分析对比,调查研究并决定给予初步审定或驳回申请等一系列活动。
附上一张商标注册的流程图:

看了这张图片是不是觉得头都晕了,也太麻烦了!
没关系,您可以交给我们。我们有资深的专业团队,帮您一站式解决服务。

那注册商标可以自己查询吗?
当然可以,这里为您提供一个免费又专业的商标45类分类表的查询入口:
| 电脑用户点击这里 | 手机用户点击这里 |
扫描二维码关注麦微微
创业资讯实时掌握